Supreme

Nebraska Supreme Court Forms Guardianship

2

Https Www Courtlistener Com Pdf 2020 07 24 In Re Estate Of Hutton 5 Pdf

Free Vermont Guardianship Agreement Minor Child Poa Form Pmg61 Pdf
opendocs.com

Https Www Supremecourt Ohio Gov Rod Docs Pdf 9 2013 2013 Ohio 4380 Pdf

2

Guardianship And Conservatorship Process Stephanie Flynn Law Office P C L L O Personal Injury Lawyer Lincoln Nebraska
www.stephanieflynnlaw.com

2

Fillable Online Supremecourt Ne Packet E Guardianship With No Authority Over The Estate Of The Ward Annual Reporting Forms Who May Use These Forms A Guardian Who S Letters Of Appointment State
www.pdffiller.com

2

Nebraska Judiciary Considers Workload Mental Health Omaha Daily Record
omahadailyrecord.com

Https Nysba Org Workarea Downloadasset Aspx Id 33316

2

Https Cdn Ymaws Com Www Aclea Org Resource Collection A8c75f24 5fff 4686 814a D153a57d21c3 39 Forms And Document Assembly Programs Pdf

Https Www Disabilityrightsnebraska Org File Download Inline 11023bfb 7fc9 49c3 9b0b 665d92fcd3f6

Guardianship Forms Create And Download For Free Pdf Word Formswift
formswift.com

Girl Ruled Too Immature For Abortion By Nebraska Supreme Court Dissent Questions Constitutionality Of Verdict
www.medicaldaily.com

Http Www Publiccounsel Org Tools Publications Files So You Want To Become Emancipated Pdf

Free California Name Change Forms How To Change Your Name In Ca Pdf Eforms Free Fillable Forms
eforms.com

Lawyer S False Guardian Reports Lead To Bar Discipline Fleming And Curti Plc
elder-law.com

2

Https Www Srln Org System Files Attachments Self 20represented 20litigation 20report 20final 202015 Pdf

Https Supremecourt Nebraska Gov Sites Default Files G C Education Pp Slides Handout Pdf

Form Cc16 2 5 Download Fillable Pdf Or Fill Online Address Information For Guardianships Conservatorships Nebraska Templateroller
www.templateroller.com

Http Www Nebar Com Resource Resmgr Practice Tools Nsba Library 2018 Estateplanning 3 23 18 Estplanprobinst Comp Pdf

Form Cc16 2 46 Download Fillable Pdf Or Fill Online Change Of Address In Guardianships And Or Conservatorships And Certificate Of Mailing Nebraska Templateroller
www.templateroller.com

Office Of Public Guardian Implementation Ppt Download
slideplayer.com

2

Https Sarpy Civicweb Net Document 5731

Acceptance Of Appointment Of Guardian For A Minor Cc 16 2 2 2
www.formsworkflow.com

2

Form Cc16 2 46 Download Fillable Pdf Or Fill Online Change Of Address In Guardianships And Or Conservatorships And Certificate Of Mailing Nebraska Templateroller
www.templateroller.com

Master Forms List Nebraska Judicial Branch
supremecourt.nebraska.gov

Https Encrypted Tbn0 Gstatic Com Images Q Tbn 3aand9gcqliuagm 37swaihkiuwawpsv8mbtbjyqpeb5kjojtsdff8qixa Usqp Cau
encrypted-tbn0.gstatic.com

Nebraska Foster And Adoptive Parent Association Who We Serve Foster Parents Information Resources
nfapa.org

Parental Consent To Appointment Of Kinship Guardianship 4a 505 Pdf Fpdf Docx
www.formsworkflow.com

Https Encrypted Tbn0 Gstatic Com Images Q Tbn 3aand9gcqfeaxpvku6notka1ialkbprkpcldgnpmc Ssvvnew Usqp Cau
encrypted-tbn0.gstatic.com

Https Www Sog Unc Edu Sites Www Sog Unc Edu Files Course Materials Incompetency 20 26 20guardianship 20notebook 202017 Pdf

Form Cc16 2 2 8 Download Fillable Pdf Or Fill Online Acceptance Of Appointment Of Guardian No Authority Over The Estate Of The Ward Nebraska Templateroller
www.templateroller.com

Https Supremecourt Nebraska Gov Sites Default Files G C Education Pp Slides Handout Pdf

Http Www Nebar Com Resource Resmgr Practice Tools Practice Manual Toc 2016 Appellatepractice 10 21 Pdf

2

Http Www Nebraskalegislature Gov Pdf Reports Committee Health Lr37 Ch10 Pdf

2

Nebraska Law Students Recruited To Take Cases For Children In Need Of Guardians Netnebraska Org
netnebraska.org

2

2

The Nebraska Lawyer January February 2012 By Elisa Oria Issuu
issuu.com

Guardianship Training Class Early Childhood Development
child.unl.edu

Https Www Ncjrs Gov Pdffiles1 Digitization 170380ncjrs Pdf

Online Guardian Conservator Education Course Is Now Available Nebraska Judicial Branch
supremecourt.nebraska.gov

Https Nebraskalegislature Gov Pdf Bluebook 739 788 Pdf

Http Www Courts State Md Us Judicialcouncil Pdfs Workgroups Guardianshipreportrecommendations201605 Pdf

Nebraska Parenting Act Information Brochure Pdf Free Download
docplayer.net

Https Encrypted Tbn0 Gstatic Com Images Q Tbn 3aand9gcscrlrnseuoffze26fhebzgwk7gnkokpozlqvw5sbegv Rfjdn3 Usqp Cau
encrypted-tbn0.gstatic.com

Guardianship Process Stephanie Flynn Law Office P C L L O Personal Injury Lawyer Lincoln Nebraska
www.stephanieflynnlaw.com

Http Law Pace Edu Sites Default Files Cle 11 14 13 Selected Immigration Topics Pdf

Guardianship Training Class Early Childhood Development
child.unl.edu

Nebraskans Care Nebraska Judicial Branch
www.yumpu.com

Lawyer S False Guardian Reports Lead To Bar Discipline Fleming And Curti Plc
elder-law.com

Https Www Courts Mo Gov File Jsp Id 116883

Https Encrypted Tbn0 Gstatic Com Images Q Tbn 3aand9gcqdhzigpapju3h4hvxlchkjoze05f3mtetgdfiqg0zteglpisaq Usqp Cau
encrypted-tbn0.gstatic.com

Http Scholarship Law Marquette Edu Cgi Viewcontent Cgi Article 5122 Amp Context Mulr

Master Forms List Nebraska Judicial Branch
supremecourt.nebraska.gov

The Law Of Probate And Administration For Nebraska Including Guardianship And Adoption Of Children With Forms Classic Reprint Dame Arthur Kent 9780332515168 Amazon Com Books
www.amazon.com

The Nebraska Lawyer Magazine July August 2018 By Elisa Oria Issuu
issuu.com

Https Www Aclu Org Sites Default Files Field Document 2015 03 31 Brief Of Appellants Pdf

2

Fillable Online Guardianship And Conservatorship Annual Reporting Forms Fax Email Print Pdffiller
www.pdffiller.com

Form Cc16 2 29 Download Fillable Pdf Or Fill Online Application For Approval Of Annual Accounting And Or Fees Nebraska Templateroller
www.templateroller.com

2019 Children S Summit Nebraska Judicial Branch
138.197.54.190

In Re Guardianship Conservatorship Of Giventer Nebraska
www.yumpu.com

Https Www Courts State Co Us Userfiles File Court Probation Supreme Court Committees Public Guardian Officeofpublicguardianshipfinalreportandrecommendationsjuly312 Pdf

2

Free Power Of Attorney For Child Free To Print Save Download
www.rocketlawyer.com

Nebraska Parenting Act Information Brochure Pdf Free Download
docplayer.net

Http Www Themisadvocatesgroup Com Wp Content Uploads 2013 06 Nebraska Pdf

Wenham V State 65 Neb 394 1902 Caselaw Access Project
cite.case.law

2
dspace.creighton.edu

2

Https Www Martindale Com Matter Asr 370924 Pdf

2

Dissolution Judgment Packet Traffic Court Google Very First Instruction Clanrentginbuzz1005 Cleansite Biz
clanrentginbuzz1005.cleansite.biz

Http Heinonline Org Hol Cgi Bin Get Pdf Cgi Handle Hein Journals Arz23 Section 21

Https Enoa Org Wp Content Uploads 2015 03 Surrogate Decision Making Pb3 Newest 1 Pdf

Https Cdn Shopify Com S Files 1 0454 2588 5338 Files Free Guardianship Forms Nebraska Pdf

Http Www Courts Ca Gov Documents Btb24 5g 1 Pdf 1512604800040

2

Https Judicature Duke Edu Wp Content Uploads 2020 04 Judicialhonors Spring2020 Pdf

2

Office Of Public Guardian Implementation Ppt Download
slideplayer.com

Http Www Txcourts Gov Media 1359759 Adult Guardianship Guide Pdf

Guardianship Reform Advances After Judges Victims Share Concerns Netnebraska Org
netnebraska.org

Nebraska National Association To Stop Guardian Abuse
nasga.wordpress.com

Buy The Law Of Probate And Administration For Nebraska Including Guardianship And Adoption Of Children With Forms Classic Reprint Book Online At Low Prices In India The Law Of Probate And
www.amazon.in

Fillable Online Supremecourt Ne Nebraska State Court Form Acceptance Of Cc 16 2 2 4 Revised Supremecourt Ne Fax Email Print Pdffiller
www.pdffiller.com

2

2

Two Nebraska Judges Receive Recognition For Service Omaha Daily Record
omahadailyrecord.com

Search Nebraska Court Records By Name Online Infotracer
infotracer.com

2

Free Nebraska Delegation Of Parental Minor Child Power Of Attorney Form Pdf Word Eforms Free Fillable Forms
eforms.com

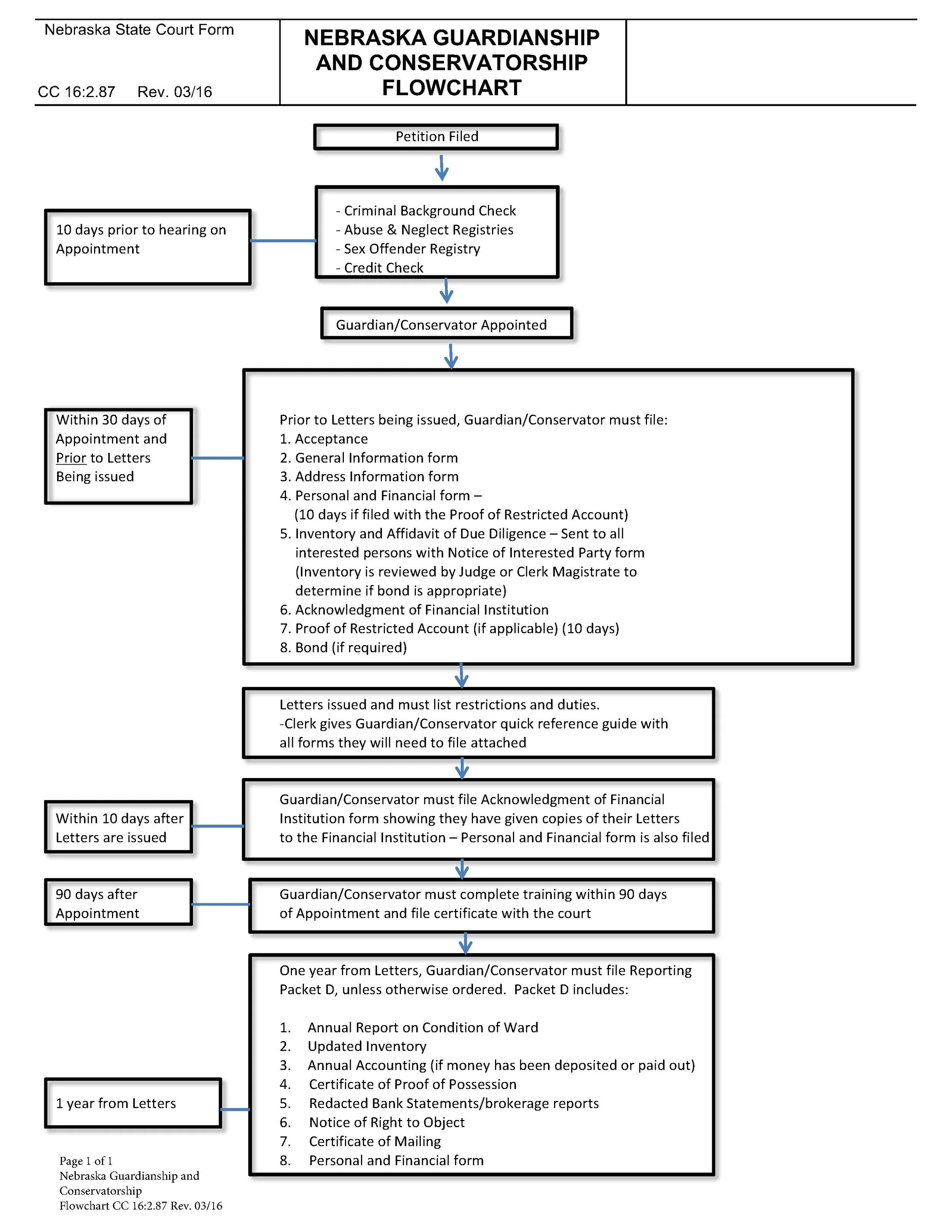
Fillable Online Supremecourt Ne Nebraska Guardianship Flowchart Supremecourt Ne Fax Email Print Pdffiller
www.pdffiller.com

Https Aaml Org Resource Collection 35664435 7dfc 48a0 B8a0 Dc4fb0009474 A Survey Of State Guardianship Comments 18 1 Pdf

2

close